Revolutionizing Language Models

MiniMax-VL-01: A groundbreaking 456B parameter language model with innovative hybrid architecture, processing up to 4 million tokens of context - 32x more than GPT-4.


MiniMax-VL-01 is a powerful language model that supports multiple intelligent conversation scenarios, making your applications smarter.

Aleeyah

5.0

MiniMax Text

Advanced Architecture. Unmatched Performance.

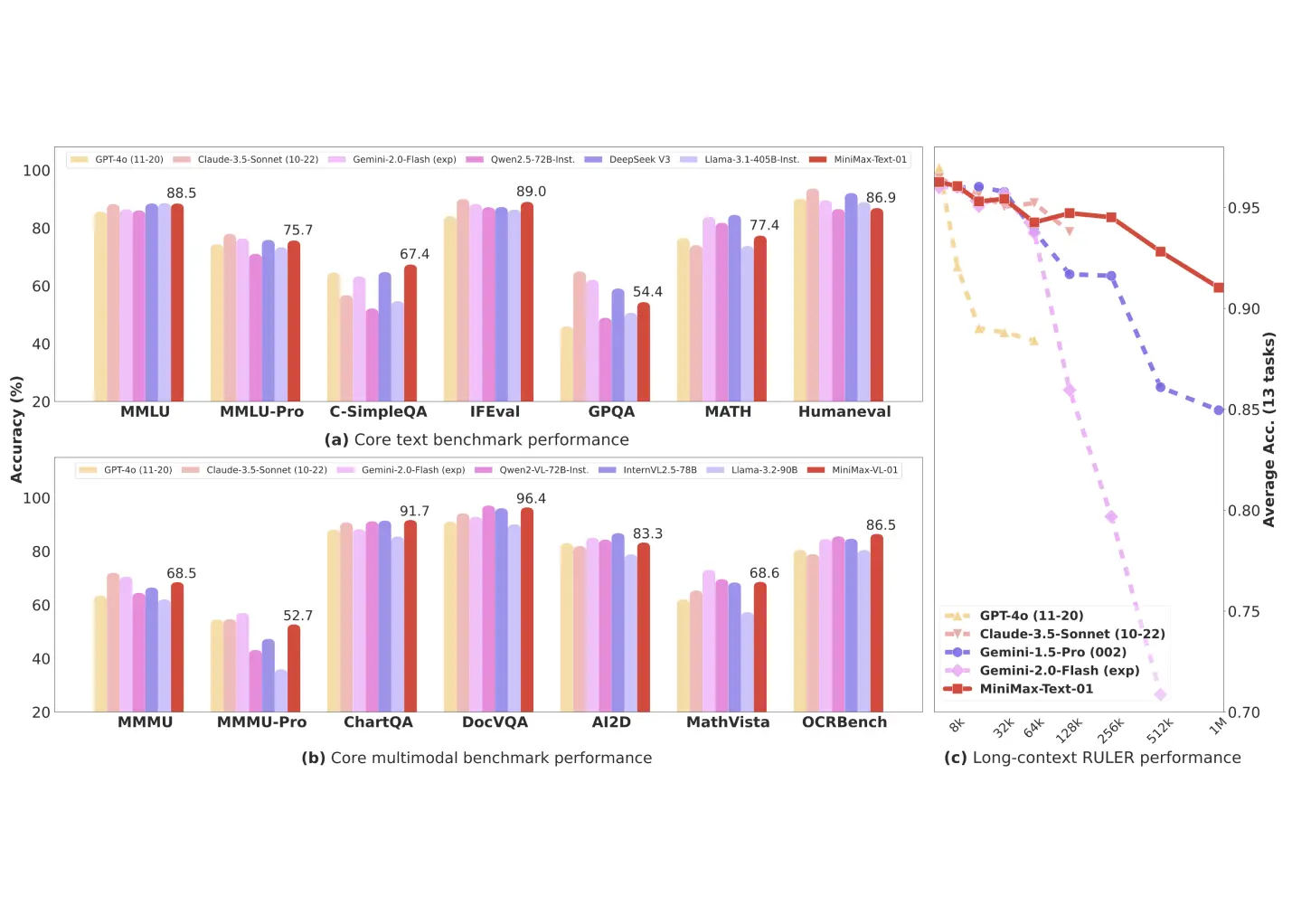
State-of-the-Art Performance

Based on industry-standard text and multimodal comprehension evaluations, we match the performance of leading models like GPT-4 and Claude-3.5-Sonnet across most tasks. In long-text tasks, MiniMax-VL-01 demonstrates superior performance with minimal degradation as input length increases, significantly outperforming Google Gemini.

Performance Comparison with Leading Models
Innovative Architecture

Our revolutionary architecture combines Lightning Attention with traditional Softmax Attention in an 8-layer cycle: 7 layers of linear Lightning Attention followed by 1 layer of traditional Softmax Attention. This hybrid approach enables near-linear complexity when processing long inputs, setting new efficiency standards compared to other top-tier global models.

Hybrid Architecture Diagram

Playground

3 EASY STEPS

Get Started with MiniMax-VL-01

Start using MiniMax-VL-01 in just three simple steps and unlock a new era of intelligent conversations

1

Choose Your Interface

Select the appropriate API interface based on your application scenario. We offer multiple flexible calling methods.

2

Integrate with Your App

Easily integrate MiniMax-VL-01 into your application using our SDK and sample code.

3

Start Using

Begin using MiniMax-VL-01 immediately and experience the power of intelligent conversations.

Our Advantages

456B

Total parameters, with 45.9B activated per token

4M

Maximum token context length, 32x more than GPT-4

80+

Model layers with hybrid attention mechanism

Frequently Asked Questions

Find answers to common questions about MiniMax-VL-01

What makes MiniMax-VL-01 unique?

MiniMax-VL-01 features a revolutionary hybrid architecture combining Lightning Attention and Softmax Attention, enabling superior performance in long-text processing with near-linear complexity. It matches or exceeds the performance of leading models like GPT-4 and Claude-3.5-Sonnet.

What is the maximum context length?

MiniMax-VL-01 can process up to 4 million tokens in context, which is 32x more than GPT-4 and 20x more than Claude-3.5-Sonnet. This makes it particularly effective for long-form content analysis and generation.

What types of tasks does it excel at?

The model excels at text generation, comprehension, dialogue, and Q&A tasks. It performs particularly well with long-form content, showing minimal performance degradation as input length increases.

How does the hybrid architecture work?

The architecture uses an 8-layer cycle where 7 layers utilize linear Lightning Attention, followed by 1 layer of traditional Softmax Attention. This combination optimizes both performance and computational efficiency.

What languages are supported?

MiniMax-VL-01 supports multiple languages with strong performance in English, Chinese, and other major languages. It demonstrates advanced multilingual capabilities in understanding and generation tasks.

How can I integrate MiniMax-VL-01?

Integration is straightforward through our comprehensive API. We provide detailed documentation, SDKs, and developer support to help you implement MiniMax-VL-01 in your applications.

Get Started with MiniMax-VL-01 Today

  • High Performance

  • High Quality

  • Flexible Customization

No credit card required.